Content, Life & Everything: a Did You Know for the AdSense crowd. ¶ For instance, a sassy disembodied mouth talks to advertisers about a Google-matic future: “I may not be such an easy touch but don’t worry. I’m still human … and quite frankly i want what I always want. And it’s not just me. We. You know, your customers. We all still love being entertained, inspired, and informed. We still love great stuff.” ¶ Passed along for those who thrill to this kind of stuff.
Year: 2007
I gave myself too much credit for innovation with that DVD sub plan. Some of y’all have been pulling that rabbit out of your hat going on years now. Respect for that but here’s my question:
Why aren’t we sharing?
Why didn’t I read about it? I’ve been issuing lousy sub plans for three years, three years which could’ve been cooler if someone I read
One of the most shocking blog entries I read this week was Miss Profe’s Tic Tac Toe: Foreign Language Style. There was nothing obviously earthshaking about it but still I sat there with spoon frozen halfway between bowl and mouth, realizing how rarely people Around Here share lessons and activities.
Time is always a good scapegoat. These things take too much time sometimes. I wonder also, though, if we don’t post more resources because those posts are some of the least sensational. They generate the fewest comments
Lesson plan posts lack any call to action, which seems like a waste in a blogosphere where every third blog post is a call to action.
But that sucks because new teachers want your answers. That sucks because I want your answers.
- I want to know how to do group work right.
- I want to know how to do a good equipment check-out system so that my compasses and calculators don’t walk out the door but which doesn’t sap away instructional time.
- I want to know how to incorporate some math on the sly into the day before Christmas break.
I know you’re holding. Give it up.
If you’re a blogger …
- post something cool from your bag of tricks.
If you’re a reader …
- put a request in the comments. Something that’s getting you down (solving equations, seating arrangements, whatever). Something you’d like to see. Or just an affirmation that you’d like to see more resources floating around the ‘sphere. You’ve gotta let ’em know it’s worth their while.
One of these days, as a blogosphere, we’ll get resource sharing right
My school gives each department a monthly pull-out period for collaboration. One period.
I dig the collaboration, but calling in a sub for just one period throws off my game in a way that no one else in my department seems to mind.
Everyone else takes the loss in stride and adjusts pace to account for the lost period. Me, I tense up and pray for some freak snow flurry to close school and balance out my other periods. It’s awful. Plus I plan sub periods as strenuously as I do regular periods and wind up with with 50% more prep work the night before my department’s planning sessions.
But I think I got it right this time.

I exported the period’s Keynote slides to PNGs and recorded a voiceover track in GarageBand using my iBook’s built-in mic. Neither of those tasks required more than three clicks.
Then I pulled ’em both into Final Cut Pro …

… and lengthened each PNG to match my voice. (iMovie will do the same thing, as I recall, but I haven’t played with the newest version.) Then I burned a DVD.

Time cost: considerable. Somewhere around ninety minutes, though forty of those could be chalked under the Bumblin’ Around column, playing with formats, etc, time I’ll save next time
Moreover, I didn’t lose nearly as much ground as I would’ve with my usual lame sub-day regiment of handouts, book review, and a few Hail Mary’s for my sub.
Moreover, at a distance, I could …
- … introduce the sub. (“Listen to Katie,” I said, just guessing at the name and gender of my sub.)
- … set expectations. (“Hey, kids, it’s Mr. Meyer. You know I hate to miss fifth period but it couldn’t be helped. Assignments are worth triple today so don’t blow this.”)
- … banter a bit. (“So who can tell me which conjecture cracks this thing wide open for us? [long pause] Nobody knows this one?!”)
- … and freaking teach.
That last feat demanded I lighten up on my usual conviction that text rarely mixes well with PowerPoint. Ordinarily, I throw a diagram or a graph on the board and spin a conversation around it. The slides had to stand alone here, though, so I crowded ’em up more than I would’ve liked.

My sub’s only official capacity was that of Pause-Button Pusher. At various times I’d instruct “Katie” to pause the DVD so the class could work through a problem. I told the kids they could ask her to pause at any point also.
I caught the last five minutes. No one freaked out over the experiment, like, “yeah, Mr. Meyer, that was way more fun than a movie … thanks!” but the sub was keen, the kids were into the novelty of it, if nothing else, I didn’t have an educational mess to clean up the next day, and I didn’t embarrass myself by praying for snow in sunny Santa Cruz.
Linda links over with her own “Careful Now” admonishment, probably best expressed by this poster, which she recommends her readership paste above its school copiers.

She describes, but doesn’t elaborate on, a set of decent handouts she made in her early career, which she recently discarded. However, it isn’t hard to infer from these bullets …
- In years to come will you be stopped in the street by an ex-student and they will bow down before you and thank you for all the exciting worksheets they gave? I donโt think so!
- Please challenge your students and teach them to think.
- Please give your students a 21st Century Literacy skillset.
- Please hang this poster next to your schoolโs photocopier.
… that she finds worksheets unchallenging and unrepresentative of the skills kids need in the 21st century.
Let me say, first, that I think there is a decent heart here, something that may rightly rattle those teachers who content themselves cranking out worksheet after worksheet, passing them out after a rote opener, and then receiving questions at their desks.
But I think her post also reflects:
- the 21st-century-learning crowd’s total misapprehension of how students learn mathematics, particularly of how students who don’t understand mathematics at all learn mathematics, and
- the 21st-century-learning crowd’s haste to throw out old mediums along with their bathwater.
This blog hasn’t always been above confronting (c) the tendency of enlightened 21st-century-learning educators to alienate those they should support.
Unsurprisingly, Linda teaches (or at least taught) English, which lends itself so well to a substituted set of 21st-century activities (eg. instead of printing an essay out in hard copy, blog it and let your classmates comment; instead of taking hard copy notes on Chuacer’s Canterbury characters, set up wiki pages for each) that she’s developed a familiar myopia.
I mean, it’s gotta be that easy for other subjects, right?
But no. Set aside for a moment the hair-pulling difficulty of entering equations and math notation into a blog interface. Math is skill-based in a way that few subjects are. And skills demand practice
Aside from that: worksheets are only a medium, empty pieces of paper, and anyone advocating that we chuck an entire medium in the name of progress would do well to justify it.
For example, what quality of paper prevents challenging exercises from adhering and allows only the lame, rote stuff to stick? What quality of paper insists on empty thought?
Once we exit that dim thought-corridor, the good times roll, and we can investigate the issue which deserves investigation: what we put on the worksheets.
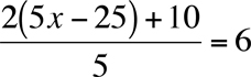
Today’s worksheet is worth posting. We’re learning entirely new skills. By the end of today’s class, students will go from outright befuddlement at this …
… to a tentative ability to solve beasts like these

We did it with four carefully selected problems, problems which I delivered on a worksheet, each problem eliminating units of mental scaffolding so precisely that most of my desk-help topped out at the question, “How is this problem different from the last one?”
My ongoing question for the 21st-century crowd is:
- how do I perform that same feat (again from scratch) using blogs, wikis, podcasts, Skitch, VoiceThread, or whatever, or alternately
- should a student’s compulsory education even include that knowledge
From experience, I don’t anticipate much response to the first question. Ex-blogger Chris Lehmann recently put some screws to that second question, though. .
Related:
- Where Are All The Next-Gen Math Teachers, the same argument, swapping “lecture” in for “worksheets.”
- Apparently the presentation model is also dead. Why not.
I saw this in a pile of forgotten masters while walking by the copier. It was love.

Check out the clear hierarchy. The single, legible font. The single style for emphasis. Margins tightly aligned. The second lines indenting just as they should. Spacing is evenly distributed. The kids know exactly where to look, where to go for their next question, and where to find important information.
I stood there, the clear design drawing me in, the world slowing to a crawl behind me. I took it, scanned it, and decided that, look, unless you know how to translate all these techniques from the handwritten page to the printed page, stand by your handwriting.
Computers make light work of worksheets for teachers, but whether they’re any good for students depends entirely on the skill of the designer.
Related: