Current Scoreboard
Team Me: 2
Team Commenters: 0
Come on, team. This is your week.
This Week’s Installment
Poll
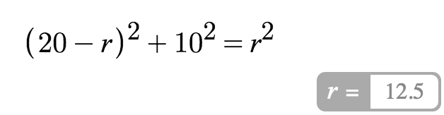
What mathematical skill is the textbook trying to teach with this image?
[poll id=”4″]
(If you’re reading via email or RSS, you’ll need to click through to vote.)
Rules
Every Saturday, I post an image from a math textbook. It’s an image that implicitly or explicitly claims that “this is how we use math in the world!”
I post the image without its mathematical connection and offer four possibilities for that connection. One of them is the textbook’s. Three of them are decoys. You guess which connection is real.
After 24 hours, I update the post with the answer. If a plurality of the commenters picks the textbook’s connection, one point goes to Team Commenters. If a plurality picks one of my decoys, one point goes to Team Me. If you submit a mathematical question in the comments about the image that isn’t pseudocontext, collect a personal point.
(See the rationale for this exercise.)
Pseudocontext Submissions
Cathy Yenca
Dear Textbook… why not just measure Becky? #SillyMath pic.twitter.com/B4VuV5FFSK
— Cathy Yenca  (@mathycathy) October 28, 2016
David Petro
The judges rule that this problem satisfies the first indicator of pseudocontext:
Given a context, the assigned question isn’t a question most human beings would ask about it.
The judges wager that if you lined up 100 arbitrary human-types and asked them the first question they wonder about this context, no more than two of them would ask about how long the ping pong ball is in air.
The judges get the sense that the author of the problem just needed some projectile — any projectile — for the task of calculating total time in air. The tennis ping pong ball [Thanks, Paul Hartzer. -dm], the number drawn on the ping pong ball, and the prize you win for catching the ping pong ball —Â those are all unrelated to the mathematical work. That’s pseudocontext.
















