Month: October 2010

Total 19 Posts

Crowdsourcing My Professional Development Essay

I think I have an angle on this prompt, but the commenting has been especially sharp around here lately and I’m interested in your take:

What is a core practice relating to teaching that every new teacher should be required to learn at a very high level before entering the classroom?

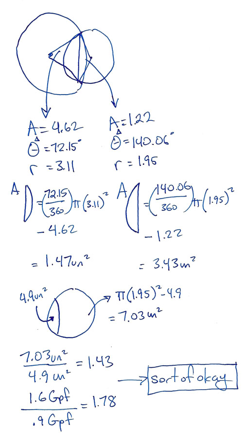
I’m In Love With This Toilet Basically

New city. New home. New toilet. One of those pricey Toto jobs. Here’s the question:

You need a puzzle-piece button โ€“ one of those buttons that’s cut neatly into two buttons. One side flushes out more than the other. The best button design gets an extra-credit contract to manufacture one million of them.

I’d leave it to the student to ask how much each side flushes out: .9 and 1.6 gallons. (Be less helpful, etc.)

Here the question for you, the math-curious blog-reader: which of these buttons is the best design? Essential secondary question: in each case, what question do you ask students to nudge them away from an inferior design to something superior?

Here’s Toto’s answer, which prompts the question: did they get it right?

A: Sort of.


And yeah, this is what happens when I leave the classroom. I blog about bathroom fixtures.

[PS] The Daffodil Logo

Geometry, McDougal-Littell.

Pseudocontext

Brian Miller:

Context should add something to the problem, whether it be intrigue, interest, or a way for students to pull from their intuition, and prior knowledge. It is the absence of reaching these measures, that makes me characterize this problem as pseudocontext. No student is going to read about the daffodil logo, and then feel compelled in anyway to prove the leaves to be at congruent angles.

This particular problem became more interesting after I took away the context. That could become another measure of how we judge context v. pseudocontext. Is the problem more interesting after the context has been stripped away? If so, then the context was actually pseudocontext.

Transcription:

You are designing a logo to sell daffodils. Use the information given. Determine whether the measure of angle EBA is equal to the measure of angle DBC.

Assignment:

  1. Scan an example of pseudocontext.
  2. Email it to dan@mrmeyer.com
  3. List the textbook title, edition, and publisher.
  4. Give me your interpretation of the term “pseudocontext.”
  5. Let me know if you’d like credit (name, blog or twitter) or if you’d prefer anonymity.

WCYDWT: Burning Man

Click the image for full size. You have to see it full size.

1. What questions perplex you about this photo?

What’s the perplexity score here?

davidwees: How many people there?
Peter: how many people are there?
Roz: How many people?
schwartz: is it bad that i want to know the area of the shaded regoin?
JG: How many rows can be added until the circle touches the pentagon?
Colin (@ColinTGraham): How was it built and measured out?
Sam Critchlow: what/why is the gap between the pentagon and the circle
JG: How much area is added on with each additional concentric circle?
Sam Critchlow: or what is the total open space area
Chris: how many more people to complete the circle?
Colin (@ColinTGraham): what’s the significance of the pentagon
Nick Hussain: how many more people/dwellings (?) could be added if the circle was completed?
JSR: what’s at the center?
Colin (@ColinTGraham): how many sectors if the circle was complete

We went with:

davidwees: How many people are there?

2. What is your guess? What is a number you know is too high / too low?

3. What information would you need to answer the question?

JG: Average number of people in each rectangular region
schwartz: people per square something
davidwees: I think we can estimate people per square
schwartz: radius of part circle?
Barb: Was admission charged? If so, who sold the tickets? They could give a ballpark figure
Colin (@ColinTGraham): is each sector evenly divided and how many sit in each of the eleven concentric rings?
davidwees: and get the scale from the size of the tracks shown
Roz: we definitely need scale

David’s response is right on point:

davidwees: so I think we could get a pretty good estimate without much more information

You don’t need anything more here. (I wonder what it takes to get students comfortable with imaginary units, as in “the radius of the circle is 500 burningmans,” etc.)

Nevertheless, here are two images that are interesting, if not useful also:

4. Submit your work.

I knew we wouldn’t have time for this. Here’s the Evernote page, though, where Colin Graham posted his work:

5. Show the answer.

[BTW: Though the photo is clearly timestamped 2009, various commenters have outed themselves as serious Burning Man attendees to tell me that this is 2010’s photo. I have adjusted the news clipping accordingly.]

Download High Quality

WCYDWT: Book Of Eli

Huge spoilers for the movie Book of Eli. You were warned.

Click through to view embedded content.

1. What questions perplex you about this video?

If we were assigning a score for perplexity, can we agree that this would receive a much higher score than Big Baby?

Jazo: how long will it take for him to recite the whole bible?
Sam Critchlow: how long is this movie going to be if he speaks this slowly for the whole bible?
Peter: how long would it take to dictate the entire bible
Roz: How long would it take to transcribe the bible
Matt: how long to recite?
Chris: Given that the Bible was being recalled from memory and transcribed at the same time, how long might it take?

I set the units to “days” โ€“ I wouldn’t have done this in class โ€“ which led to:

2. What is your guess? What is a number you know is too high / too low?

3. What information do you need to answer that question?

Sam Critchlow: # words in bible
Chris: How many verses? Time per verse?
Peter: how many words per minute is he speaking? how many words in the bible
Roz: Are they taking breaks?
Jazo: how many words does he speak in a day at that speed?
schwartz: How fast a reader is he? How much time a day does he spend reading?
Matt: how many verses in the bible and average word length of each verse
Barb: I need to know if he reads 24 hours a day or takes breaks
Barb: Which version of the Bible
schwartz: How long is the bible in pages or words?

Three things about this conversation.

  1. It’s fun.
  2. It’s challenging.
  3. It doesn’t happen when you assign problems one through thirty odd.

I laid a timer over the relevant part of the video and linked it up, but you don’t even really need that. You’re counting. You’re Googling. (It’s the English Standard Version translation.) You’re calculating.

4. Submit your work.

Technical innovation: a public Evernote notebook.

Participants e-mailed my Evernote address with “@BookOfEli” in the subject. They attached a scan or a photo of their work and then everyone could see everybody else’s work.

5. Show the answer.

Technical demerits.

Download High Quality