I’m really grateful for the deep bench I have on this blog, the readers who take the time to share with me the mathematical objects that intrigue them. Adam Poetzel, secondary math ed prof at the University of Illinois, sent along Orbeez, which is pretty aptly described by this commercial:
Basically, small things that grow big in water. The Orbeez website puts the volume increase at a factor of 100 while the instructional manual puts it at 150. Controversy! Which is right? Or are they both wrong?
I went to Toys R Us and bought a starter pack for $8.00.
I dunked ’em for a few hours and got this:
A few ideas here. Start informally. Move from the concrete to the abstract. The informal question is, “how many times bigger is it, really?” Ask the students to write down guesses. Write a few up on the board. Perhaps print that photo out and have them draw what they think “150 times the volume” would look like. (Am I alone in thinking this looks way way smaller than 150 times bigger?)
Ask them what information they need to answer the question exactly. Put up this photo.
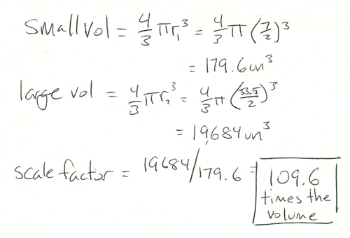
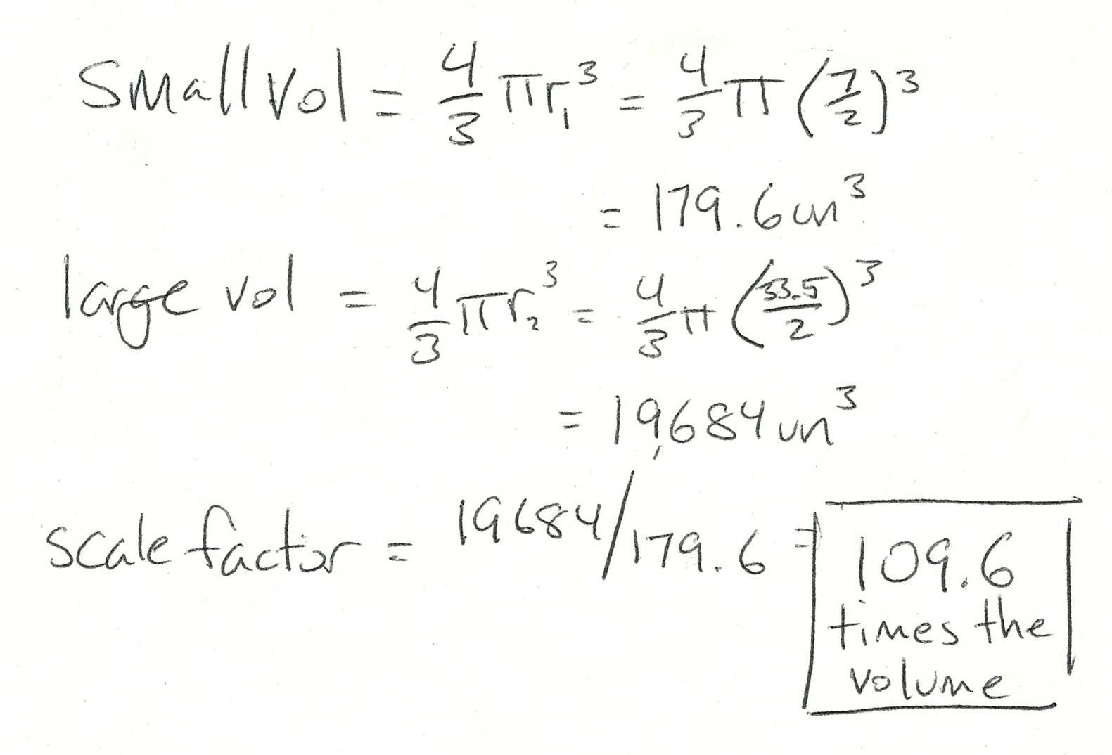
Here’s the math:
Okay, Orbeez, just watch yourself, that’s all I’m saying.
Ideally, you’ll move from the relatively laborious calculation of volume to the relatively simple comparison of the diameters using scale proportions. ie. if the large volume is really 150 times the small, then the large radius has to be at least 150^(1/3) = 5.3 times the small.
The Goods
The problem archive, including:
- the commercial,
- the manual,
- the website screenshot,
- before / after photo of Orbeez,
- before / after photo of Orbeez with ruler.
- Orbeez’ internal expansion measurements (given different water sources) [see this post].
Addendum
This is the rare WCYDWT investigation that would be even better with real stuff rather than all these digital replications of real stuff. Buy some Orbeez off Amazon. Let your students dunk their own Orbeez on day one. Perform the investigation on day two.
2011 Jan 11: Sharon Cohen, the brand manager of Orbeez, stops by to drop some knowledge on us all.







