
The Goods
Download the full archive [33.9 MB].
Act One
Act Two
Act Three
Sequels
- I have $1,000,000.00 in pennies, how big of a pyramid can I make?
- Each stack has 13 pennies which is a strange number to choose. Why do you think Marcelo Bezos chose it? [Hint: not out of an abundance of superstition.]
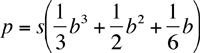
- Bezos says he can tell you the number of pennies in a pyramid with this equation:

where s is the number of pennies in a stack and b is the number of pennies on one side of the square base of the pyramid. Does this work? If so, prove it.
Review
Here’s my burning question: is that enough? Is that skinny outline enough for you to use this in your classroom?
Check for understanding: what happens during the first, second, and third acts of a mathematical story? What are your moves? What questions do you ask your students?
Act one is about visuals, context, and perplexity. Act one hits you in the gut, not the head. Act one eagerly invites questions like, “What is that?” or “Why did he do that?” If your students are anything like the teachers who have worked with this image, you’ll get a fair number of them wondering, “How heavy is that?” and “How much is that worth?” both of which tie into the most popular (by far) question, “How many pennies is that?” Have them write down a guess along with numbers they know are too high and too low. Share guesses. Stir up some competition.
Act two is about tools, information, and resources. “What do you need to know to figure out the answer to your question?” Dimensions of the base? Number of pennies in a stack? The change from one level to the next? Give them what they want.
Act three is the resolution. When groups of students start finding answers, ask them to check the answers against the bounds they set up earlier. Challenge them with one of the sequel problems while you help other students. Bring students up to explain their different solution strategies to each other. Then pay off their hard work and show them the answer.
Release Notes
- Teachers in my PD session love this one and, as their facilitator, so do I. They each come up with their own interesting question and yet the math doesn’t change. Whether you’re curious about weight, duration, quantity, or cost, we’re all going to work with area and series. That’s a win for every stakeholder in the room.
- I’m especially fond of this one because everyone has a place to start. You can seriously start counting the pennies one-by-one if that’s the highest level of abstraction you can handle. We’ll beef up your skills over the course of the problem.
- How many students will factor the number of pennies per stack, saving themselves a load of work? ie. 13*1 + 13*4 + 13*9 + … + 13*1600 vs. 13(1 + 4 + 9 + … + 1600) It’s going to be fun comparing work around the room.
- A compelling visual is its own classroom management. If you put up a visual that’s a) simultaneously strange and familiar, b) larger than life, and c) aesthetically clear and interesting, the class is yours. Maybe only for a moment, but that moment is yours to lose. The class has given you permission to take them somewhere interesting. I’m not sure I can say the same for a worksheet. A worksheet brings with it a very different set of bags.
- This one is courtesy of Dan Anderson. I’m drinking your milkshake here, Dan. Where were you on this story?
2011 July 8: Changed one of the sequels per David Wees’ remarks in the comments.
2011 July 15: Elizabeth Bezos, wife of Marcelos, the guy who made the pyramid, stops by to say hi in the comments.
36 Comments
Chris
July 8, 2011 - 11:12 am -This seems like a great problem. I really appreciate the work you’re doing developing and collecting these kinds of problems.
However, I do have a challenge for you — for all of us — that has nothing to do with this problem in particular. You appear to be a very visually-oriented person. So am I, and so are the vast majority of our students. But “vast majority” is not the same as “all”.
The challenge is, could you do something similar to any of these problems in a purely auditory format? Or some other modality? Or maybe a mix of video and audio, where insights derived from both the video and audio are required?
Since most of our students are visually-oriented, it makes sense for us to leverage that. But for the students that aren’t (and even for the students that are!), it would be good to get some occasional variety.
I worry about this in my home discipline (computer science), which is overwhelmingly visual. People are starting to branch out (see, for example, http://www.youtube.com/watch?v=t8g-iYGHpEA and http://www.math.ucla.edu/~rcompton/musical_sorting_algorithms/musical_sorting_algorithms.html) but we’re certainly not there yet.
David Wees
July 8, 2011 - 1:39 pm -First, I like the multiple entries for this problem, and the fact that it focuses students in a particular direction, namely on sequences. This is a good problem.
I’m just going to be a bit contrary and make some additional points:
Why would we care how many pennies are in the pyramid?
– Is it because we want to make our own pyramid?
– Maybe we are curious about what kind of effort it takes to make a pyramid like this?
I think that in your mathematical story telling it’s important to add a layer of relevancy (or meaning, or personalization) on top of the obvious engagement in mathematics you are developing.
Otherwise students will see mathematics as a series of activities which are in themselves interesting and fun, but not something they can actually use themselves when they leave school. I’m not suggesting that every activity needs to have a certain amount of realism, but many of them do.
In the quest to find a good problem to relate the idea of sequences to students, it’s important to remember that a purpose of learning about sequences is to understand our broader world, and I feel like this particular problem frames sequences as such a trivial portion of our world.
A minor point: You’ve basically given students the answer in part 3 of the sequels. Can we find a way to phrase this so students have to hunt for possible rules rather than verify that this rule is right? Newton’s difference equation, polynomial regression, polynomial guess and check, systems of equations, etc… are all good techniques to solve for this kind of sequence.
Daniel Anderson
July 8, 2011 - 2:58 pm -Hey, I threw up a meatball and you knocked it out of the park. Thats f’ing teamwork. Love it!
Dan Meyer
July 8, 2011 - 6:01 pm -I’m not sure how much sense it makes to pick a modality and then build problems around it. More often, I encounter math in my day-to-day and then I ask myself, “Which medium is the best vehicle for describing this math to my students?” But if you have something in mind, let’s make it happen.
I turn back to Will It Hit The Hoop?. No one ever goes up for a jump shot and runs a regression to figure out how to shoot the ball. It never happens. Parabolic regression is irrelevant. And yet, given the presentation, everyone wants to know if the ball is going to go in the hoop. Likewise, if the image makes you wonder how many pennies there are, we’re good to go. I’ll ask you to take a guess. Then the hook is set.
John Scammell
July 9, 2011 - 5:31 am -I can see why teachers in your sessions love this one. It’s engaging, connects nicely to existing curriculum, and can involve math from some of our higher level courses. I can see several ways I would use this. I think I would start by giving kids rolls of pennies and asking them to make pyramids. Then I’d move on to Act 1.
I’m curious about your Act 1. As a guy who has long touted the use of video to present problems, why did you choose to start with the still image on this one, rather than the video? I might start with the video with the answer edited out. I think it would show kids it’s not hollow, and help with their guesses as to the total number of pennies.
Dan Meyer
July 9, 2011 - 7:45 am -Sure, that’s a good case for starting with the video. I guess the video felt more like a payoff to me than an introduction. Moreover, the video includes a lot of act two information (number of coins along the base, number of coins in a stack) I’d like to conceal for now. But it’s a coin flip for me, if you’ll pardon the expression.
Jason Dyer
July 9, 2011 - 9:26 am -Regarding “is this outline enough for you to use in the classroom”, for me, sure. For some random teacher browsing through lesson plans, no. What understandings do students need to collect to finish the problem? What wrong turns could they take? Most teachers I know would get lost trying to implement the thing. (This would be a good candidate for a full non-linear lesson plan workup, but I’m going on vacation shortly; if you like I’ll take a stab at it in a few weeks.)
Fun for extensions: The Coin Stacking Picture of the Week: http://www.coinstacking.com/
I would probably use this in my “make the students perform some sort of physical stunt which requires math to get it right” lessons. Maybe with something larger, like cups? Here’s 100 cups, not only “how big a pyramid can you make” but “ok, now do it”.
Richard Strausz
July 9, 2011 - 3:50 pm -As I read this post I thought about one of my favorite web sites, the MegaPenny Project: http://www.kokogiak.com/megapenny/
(Could a million pennies fit in a classroom? What about a billion? What about a trillion?…)
It has good potential for assisting students in estimating volume and the size of large numbers.
Richard
Michael
July 9, 2011 - 7:59 pm -I am being a cynic here but why would a student care about how big a pyramid a $1,000,000 in pennies can make? Aside from direct geometry concepts, do students find value in solving this problem? Has this problem been implemented in the classroom? Can’t a student just lookup the answer, if so why do all the”work”?
Assuming that the above can be remedied, this seem like a good problem to get the school year started. It seems like a great entry problem.
Daniel Schaben
July 9, 2011 - 9:53 pm -Michael – I know first hand how Google can take the wind out of the sails of a great problem in less than 0.12 seconds. That is why we have to cultivate that productive disposition where students see mathematics as worthwhile to learn in its own right.
I will be trying this problem with students as soon as I have them again and will probably make them keep their computers closed, cell phones off, and hope that I can get through Act 3 before the bell rings.
One collegiate mathematics teacher I know has several different scenarios on “the locker problem” (0.05 seconds 39 million results) just so students can’t use Google to get the answer before they think about the problem first.
On a bright note my 10 year old son thought it was an intriguing picture today, and he did ask some of the same questions from this lesson without being prompted.
Andrew
July 10, 2011 - 11:07 am -Why 13? Your hint leaves out the possibility of superstition, but my guess is that a stack of 13 pennies is about as tall as the diameter of a penny. The pyramid would be just about the same height as it is wide. Not a regular pyramid, but I don’t know a term for it. A cubal-pyramid?
Dan Meyer
July 10, 2011 - 8:09 pm -@Andrew, I probably shouldn’t rule out superstition. Your answer seems correct to me, though.
John Berray
July 11, 2011 - 10:38 pm -Money gets students talking. There’s a natural pull to nab curiosity right off the bat when coins or currency take center stage.
The perplexing question for me is definitely how much is that pile of pennies worth? If I were running this 3-Act play in more than one class, I’d vary the way it gets presented to see which way stirs up the class most. I’d also make sure there were plenty of pennies lying around for students to fidget with while they think about the problem.
One way could be to have the pyramid image projected for all to see, and run an online poll (like polleverywhere.com) that they can use to text in their free response question. The most common query would hopefully reveal itself and the focus of act two can begin. If I were to step aside and watch the poll take shape, the class might debate which are the most perplexing questions without even my help.
Another way, which might cause a little more friction, would be to ask if the students would rather have the pile of pennies or some other given amount? Or how much would you work for that pile of pennies? This does however ask the question for them. But these questions nonetheless necessitate them asking new ones immediately.
A follow up thought…perhaps fodder for act 3: how long would it take one to roll those pennies to take to the bank? Or, what would Coinstar make on the deal if it were used, at 9.8 cents on the dollar?
Bill Bradley
July 12, 2011 - 9:55 am -This reminds me of the Wheat and Chessboard story
Bill Bradley
July 12, 2011 - 9:58 am -Oh, and Dan, if you feel that this gives too much information, ask your students the same question but with dimes, nickels, or quarters, and then you bring in what measurements they would need to as well!
Dan Meyer
July 12, 2011 - 10:41 am -Solid link, Bill, thanks. I forgot that one.
Laura
July 12, 2011 - 10:51 am -I love this! I’m going to use it with my summer school math intervention kids tomorrow. I think they’ll grab onto it quickly.
Random extension? http://tinyurl.com/6erszby
Dan Meyer
July 12, 2011 - 12:46 pm -I’d love to hear how this goes.
Elizabeth Bezos
July 15, 2011 - 10:44 am -Ha! that is my living room in the picture! and this is my husband’s equation!
I am genuinely estatic about how pumped you are about all this.
To be quite honest though, the Penny Pyramid Project came about as a tool to increase the awareness of colorectal cancer prevention and then developed into a curriculum that teaches philanthropy to school-aged children while reinforcing lessons in math, history, and science called “Collect, Build and Donate”. The equation was icing on the cake…just because my husband’s brilliant mind works like that>>>>> a little quirky, but we love him! LOL.
Thank you all for your interest and energy. We wish you well in your daily endeavors!
Heather B
September 13, 2011 - 5:34 pm -This problem is very interesting and engaging, but I especially love your three acts for presenting and solving a mathematics problem. I think you hit the nail on the head when you mentioned that if you can present students with something that interests or amazes them they are all yours. This is the key to a truly engaging classroom. However, I also agree with what David said about the importance of adding relevancy to mathematics problems. I have been asked way too many times by students: “when would we ever need to use this?” Embedding the answer to that question in your activity can go a long way toward helping to remind students why mathematics is so vital, important, and relevant.
Tim
October 14, 2011 - 9:56 am -This problem could also be related to systems of linear equations. Once you know the relation is cubic (the third order difference is constant), the equation takes the form ax^3 + bx^2 + cx + d = (Number of pennies). Plug in your own knowledge for x=0, 1, 2, and 3 giving you 4 different equations and allowing you to solve for a, b, c, and d. The concepts and the math are pretty challenging, so I might turn it into enrichment or extra credit.
Malcolm
November 9, 2011 - 1:36 pm -I know I’m late on this one and probably no one will answer, but I have to say, I don’t quite… get it. Like, is the punchline really that every kid in the room types “1 + 4 + 9 + 16 + 25…” into a calculator for 20 minutes?
Is there a more clever method for solving this that kids would come up with that I’m missing? It’s certainly beyond the realm of reasonability that a class of geometry students would derive that formula.
Mark Watkins
January 18, 2012 - 8:32 pm -I think that’s the instinct for most students and you use that as a baited hook to get them desperate for a better way to count it. Then, depending on level, you draw them towards the appropriate “better way”. Here is how I see the teaching potentials by level off the top of my head:
Pre-algebra: Factoring.
Algebra 1: Finite differences
Geometry: Pyramid approximations, proportions
Algebra 2: finding the general formula with matrix equations
Pre-calc: Inductive proofs
Calc: Integration minus error methods for finding the formula
ara
February 6, 2012 - 11:10 am -Dan,
We used this three act problem in our science classroom last week. The class is for pre-service elementary education teachers. I used your three act method for showing how science processes and thought works. Overall it went well, there where some hangups on how to tackle the math. The main thing was that everyone was engaged as soon as they saw the picture.
Nathan Kraft
October 7, 2012 - 10:45 am -Hi Dan,
I did this a couple of weeks ago and I think the only weak part is act 3. Did you ever think about taking the time lapse video and adding a penny count as it was being built? I think some of your third acts are really good with this element. It helps to build the suspense as you watch the count get closer and closer to your answer.
If not, I might take a stab at making this…when I have free time…next summer.
Dan Meyer
October 7, 2012 - 11:53 am -Yeah, good idea. I’m on it.
william
October 20, 2012 - 12:30 pm -One additional thing to try is the “wisdom of crowds”. As well as getting everyone on the class to guess the number of pennies, average the guesses. I’ve tried this a few times and it works incredibly well (after you delete the silly guesses like 1 million and above).
In three attempts, I’ve had averages of 260,000 to 280,000. Once the students work out the true number of pennies, I always direct them to the whiteboard where I’ve written up the average. Never fails to impress (and never fails to impress me, too).
Dan Meyer
October 21, 2012 - 9:50 am -william:
Why is one million silly?
william
October 24, 2012 - 8:54 am -“Why is 1 million silly?”
OK, maybe it isn’t from the student’s point of view, though I sort of doubt it. 1 million just seems like shorthand for ” a really big number”. Cue Dr Evil (“I will destroy the Earth unless you give me …. one million dollars!!!!”). I also had a guess of 66 billion as well, but from someone trying to show off in some way. You have to filter the serious attempts a bit.
It wasn’t a major point of the lesson, so I didn’t feel too bad about this censorship. Perhaps if you’d already built some sort of rapport with the class, you’d be able to do it without filtering out the silly stuff.
Anyway, after trying it on 6 classes of about 20 (yes, 6), I got 5 good averages (250,000-280,000) and one odd one (150,000). So wisdom of crowds works, most of the time. (with the caveat that I was filtering). Certainly worth a try, and the students were seriously impressed that the average guess was so close to the exact number.
You could also get the students to do the averaging, filter out the silly guesses, and so on. Maybe a discussion about the merits of mean and median?
One interesting approach I got from time to time was groups of two or three students who decided there HAD to be a simple formula for the number of pennies, and insisted on trying to find it. Unfortunately, these (self-selected) groups invariably did not know enough math to understand finite differences, and had difficulty even imposing the pyramid approximation on the problem. If I were a better teacher, or less overworked, I might have been able to guide them better (i.e. derail them faster from their flawed idea of how to tackle the problem); but I just find it interesting that the less prepared students were the ones trying to overreach – or perhaps shortcut the problem – the most.
Any suggestions about how to avoid or exploit such problems in future greatly appreciated. But I have to say that this lesson worked well almost all the time.
(context: I’m a university lecturer trying to run a remedial maths class for 120 students. While they are all reasonably smart, they haven’t all been well served by the math curriculum in the UK; and half of them haven’t done math since they were 15).